Life's Healing Choices - The Beatitudes
Beginning with the Jan 8, 2017 service and continuing for 8 weeks through Feb 26, pastor Ralph Wrightstone presented a series of sermons on recovering from "Hurts, Hangups and Habits". There is a "handout" to accompany each service, provided here as PDF documents.Click here for a brief audio description of the series.
Click
to view a document (handed out on the last day) that provides some helpful supplementary information.
(Click on a
symbol to open an audio recording in a separate browser tab or window. During the playing of the audio you can return to this page by selecting its window or browser tab. The window/tab of the audio segment should be terminated before selecting another recording.)
- Life's Healing Choices
- Part 1 - (Jan 8, 2017)
.....-(44:06) Sermon: "The Reality Choice"
.....-(03:19) a Prayer For You and With You
.....-- Click to view a hand-out to accompany the sermon.
Part 2 - (Jan 15, 2017)
.....-(03:03) Remarks and Testimony about the Sermon Series
.....-(42:36) Sermon: "The Hope Choice"
.....-(02:14) A Simple Prayer
.....-- Click to view a hand-out to accompany the sermon.
Part 3 - (Jan 22, 2017)
.....-(47:47) Sermon: "The Commitment Choice"
.....-(07:06) a Simple Prayer
.....-- Click to view a hand-out to accompany the sermon.
Part 4 - (Jan 29, 2017)
.....-(42:45) Sermon: "The Housecleaning Choice"
.....-- Click to view a hand-out to accompany the sermon.
Part 5 - (Feb 5, 2017)
.....-(29:41) Sermon: "The Transformation Choice"
.....-(07:11) Sharing Moment: "Commitment", speaker Tina Oaks
.....-(06:58) Sermon: (continued)
.....-(07:16) Sharing Moment: "The Heart of a Servant", speaker Travis Oaks
.....-(03:36) Sermon: (conclusion)
.....-- Click to view a hand-out to accompany the sermon.
Part 6 - (Feb 12, 2017)
.....-(46:50) Sermon: "The Relationship Choice"
.....-(2:31) A Prayer
.....-- Click to view a hand-out to accompany the sermon.
Part 7 - (Feb 19, 2017)
.....-(48:28) Sermon: "The Growth Choice"
.....-(01:40) A Prayer and an Invitation
.....-- Click to view a hand-out to accompany the sermon.
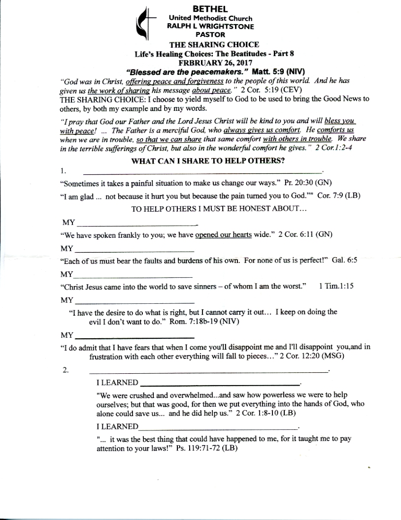
Part 8 - (Feb 26, 2017)
.....-(1:02:04) Sermon: "The Sharing Choice"
.....-(01:24) A Closing Prayer
.....-- Click to view a hand-out to accompany the sermon.
.....-- This document has some promised and helpful information to supplement the series.